位置: 首頁>>波浪理論實盤推演
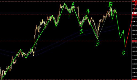
歐元正處于還原左側終結楔形過程之中一月 19th, 2012
歐元這一輪的下泄中出現了一個終結楔形,這樣的空頭終結楔形如果直接抄底需要的是把握和勇氣,非常不建議直接迎頭進場,所以要等破掉左肩也就是4浪的頭部,在上次的歐元分析中…
暫無評論
白銀預創新高,后市迎來一波中線行情一月 17th, 2012
波浪理論實盤推演白銀正處于一個C浪上漲之中,前面的高點35.62是白銀的一個中期目標,現在很快破掉高位,這個高位破掉意味著市場容易出現快速上漲的行情,做白銀的朋友不要…
暫無評論
黃金空頭不改,繼續逢高作空十二月 27th, 2011
最近的貨幣實在是太慢,唯一的美日進去被套,眼前的黃金空頭趨勢沒有任何改變之意,后市的操作節奏仍然是繼續逢高作空!
波浪理論實盤推演黃金的整個空頭大1浪不夠清晰-因為…
暫無評論
波浪理論實盤推演-美日進入一個緩和上漲十二月 22nd, 2011
美日在低位消沉了好久,從整個態勢上看,是在為創出新高做準備!
波浪理論實盤推演美日最開始的一個急速拉升不過是大周期的第一波,第二波多頭行情很明顯的在以一個非常緩和…
暫無評論
上證指數走勢凄涼,后面即將迎來一波橫盤十二月 19th, 2011
波浪理論實盤推演上證指數這一輪空頭走得很清晰的5波結構,市場空頭如此亢奮很容易在后面擺出一個平臺型調整出來,這是對現在行情的客觀分析,如果市場在后面突然飆起一波推…
暫無評論
波浪理論實盤推演-澳日最近的節奏先漲后跌十二月 7th, 2011
最近的直盤反映實在太慢,只是這澳日隱藏著一個很近的機會,就這下下周開始轉向右側步入千點空頭,如果看到這里你的腦袋里馬上閃現出澳元的走勢和這澳日的關系,你就麻煩大…
暫無評論
歐元只創新低不創新高,還有一個新低的行情十一月 29th, 2011
歐元的走勢雖然不是很容易讀懂,但從整體的走勢可以看出是周線的空頭初期,后面上調之后還有心低出現,這是最近期歐元的判斷!
此時用波浪理論不好看,因為一四總在重疊,只…
暫無評論
眼光放長遠一點-上證指數還需忍忍十一月 16th, 2011
上證指數最近一波上漲之后又沒勁了,從整體的形式上看,最近買入股票被套的朋友不要心急,以半年為單位看,現在還是個很好的低位,耐心嘴上說不了的,自己慢慢磨練自己的拿…
暫無評論
波浪理論實盤推演-歐元和澳元同時看漲十一月 7th, 2011
歐元在低位調整的好辛苦,這么調的不過是還沒休息好,想在往上拉拉,這一拉可以看300點的行情開始觀望。
波浪理論實盤推演歐元在低位實際上只是走了個3-3-5的平臺型調整的A…
暫無評論
上證處于低位徘徊期,找你懂的好公司拿滿下…十一月 4th, 2011
上證指數好不容易調整了一個橫盤,這個低位讓人有一種借錢買的沖動,很多公司都被低估了-便宜,不敢具體的說牛市什么時候來,可能此時已經就是牛市,重要的是當牛市來了一是…
暫無評論
黃金有回拉的欲望,低位博取千點行情十一月 3rd, 2011
黃金在這高位盤整很明顯是在為下一個多頭推動行情蓄勢,從低位1531.5的起點到現在,黃金一直是很標準的5-3-5上漲結構,就是說最近的黃金推動浪的5波很清晰,其中一部分原因…
暫無評論
澳洲雖降息25個基點,依然后市先空后漲十一月 2nd, 2011
澳元最近一直喜歡走一波流,比其他的直盤都要清晰,最近的歐元又是一個調整階段,看似幅度大,但只適合高拋低吸上下折騰。
波浪理論實盤推演澳元在前面走了一個非常大的A-…
暫無評論
黃金調整一段時間后繼續做多十月 31st, 2011
黃金在一步步的創新高,在速度上逐步體現出原有的鋒芒,推動的速度開始加速,這里的調整很關鍵,是繼續進場做多的好機會。
這里在運用波浪理論的時候,如果非得按書上的一四…
暫無評論
歐元得到支柱,空頭暫時歇歇十月 27th, 2011
最近這些貨幣都在多頭領域中,對于我來說還是很寂寞的,歐元并沒有給我一個多頭操作機會,這眼前的C3-C5都沒有很好的操作價值,但如果現在下來了那就不一樣,一旦加起速來…
暫無評論
英鎊還剩余尾多頭,如果乏力轉向做空十月 25th, 2011
英鎊最近的走勢從數浪來看還是很清晰的,不過這是H1的K線縮小版,這里有一個好經驗,如果你只專注波浪理論,完全可以把K線縮小,能多小就多小,因為在技術上它是無須多余…
暫無評論
