位置: 首頁>>波浪理論圖解
美元強勢,期待黃金走出引導楔形七月 29th, 2014
美元指數在沒有明確加息預期的刺激下走出強勁的多頭行情,而且波浪理論形態上正在第3波里面,美元在大的格局上是一個蓄勢待發的狀態,因為被美聯儲的頭打壓了許久,看好美國…
6 人評論
歐美處在空頭一波流之中,繼續追空歐元七月 23rd, 2014
目前外匯市場中最弱的幣種EUR在基本面上德拉吉一直希望歐元貶值,美國方面的耶倫上周開始改口,在趨勢最大的阻礙在于美國的耶倫強勢不改口,德拉吉只是口頭上說說,眼前…
暫無評論
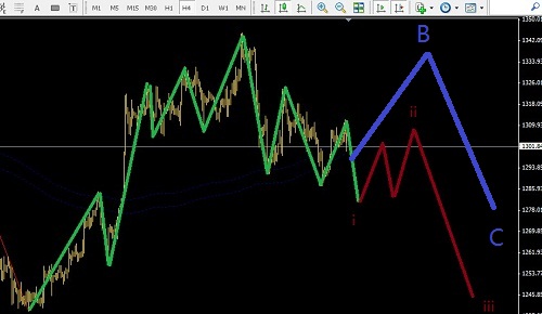
黃金高位橫盤,新西蘭紐元直接做多七月 22nd, 2014
本周沒有耶倫的講話也沒有重要美國經濟數據,黃金白銀判斷不變,波浪理論分析依然在一個高位橫盤整理的調整浪里面,也就是在1292到1343之間走平臺型調整!
貨幣市場中周三有…
1人評論
黃金白銀進入反彈只因耶倫的一句̶…七月 16th, 2014
黃金和白銀最近的一輪大漲是只因為耶倫的講話沒有任何變化而被市場解讀為離加息還早,黃金暴漲!周二7月15號晚上10點耶倫講話的內容僅僅只是說到了:“如果就業和通脹復蘇超…
5 人評論
歐美剛剛出現多頭引導楔形七月 10th, 2014
基本面因為歐洲方面目前對于QE處于一個緩沖狀態,而且內部還有對立,加上耶倫的鴿派,歐美在天圖上傾向于調整出更多行情再下
波浪理論圖解歐美在1小時級別上走出了一個由…
2 人評論
黃金高位蓄勢橫盤,暫時適合短線七月 8th, 2014
本周的黃金選擇了高位橫盤,目前已經運行了一個3波起頭的小A浪,眼前正在B浪的位置上,技術面上在走完了900點的多頭行情橫盤了之后才能更好的把握后面的多頭行情,做黃金…
9 人評論
黃金5浪高位,多頭趨勢面臨調整七月 1st, 2014
本周四的非農是一個重要數據,波浪理論分析黃金目前在一個三角形調整4浪突破完成了一波大的推動浪行情,在趨勢上,黃金后面還是多頭,只是難以判斷是要繼續調整多大的級別然…
4 人評論
黃金白銀新高之后是出場位六月 26th, 2014
黃金白銀在耶倫鴿派的影響下目前已經走到了C-3的第4浪平臺型調整的位置上,黃金白銀后面還有僅僅一個C浪3-5行情展開寬幅橫盤,目前的市場行情短線之后的新高就是多頭的出…
5 人評論
耶倫議會行情平淡,短線黃金和歐元六月 19th, 2014
昨天凌晨2點30耶倫的講話市場表現平淡,經過半天的消化美元指數最終選擇了空頭,這給短期趨勢的指引了方向!
對比貨幣其中的歐元完全可以止損位設在13545后回調做多,目標位…
3 人評論
外匯市場6-7月我的兩個重倉機會六月 14th, 2014
下周的重大事件FOMC宣布利率決定并且耶倫主持是本月的壓軸行情,代表了6月下旬的匯市方向指引,這本身就是一個交易機會!
下周四凌晨2點在歐元走了3天的行情之后有2個方…
3 人評論
黃金再次面臨三角形,適合突破進場六月 10th, 2014
黃金在經歷了上周四歐洲降息和非農之后,市場消化的結果是轉頭在高位橫盤,而且目前看是一個三角形調整的節奏,市場在這里如果往上突破,黃金面臨更大一級別的反彈,如果下…
6 人評論
美日處于主升浪中,3浪2追漲六月 2nd, 2014
日本央行講話還是老一套,其中最給力的是:”日元目前還沒有走強的理由”,使得美日連100.70的新低都沒有破掉,反而走出多頭的突破行情,這一點反應了美日面臨當…
暫無評論
美瑞終結楔形,周一短線機會五月 31st, 2014
上周五在前面評論處判斷歐美空頭一波流,今天周六沒有行情,但是眼下的美瑞正在一個終結楔形的轉角處,及時提醒正在操作歐美的朋友,下周一要市場有一波反向行情!
波浪理論…
2 人評論
黃金三角形調整破掉,黃金白銀繼續追空五月 27th, 2014
黃金花掉了100多個4小時進行完成一個三角形調整,在沒有重大消息面的情況下市場自己慢慢悠悠的選擇了空頭方向,喜歡黃金和白銀的朋友本周有事做了,兩個品種都可以繼續逢高…
6 人評論
澳元回光返照結束,即將開啟一波流下行空間五月 26th, 2014
澳元進入2014年,回調勢頭強勁。但由于美國經濟似百足之蟲,滯而不僵,雖演繹一幕幕驚心動魄的過山車情節劇,折騰一段時間總還是有驚無險、步步攀升。伯南克之后的耶倫執掌…
暫無評論
